Программирование орошения с использованием автоматических метеорологических станций
Источник фото: esferadelagua.es
Программирование орошения — это методика, которая позволяет определить оптимальный объем воды, который будет использоваться в каждом фенологическом периоде виноградной лозы или фруктовых деревьев, в соответствии с конкретными взаимодействиями почвы, растений и климата; которые интегрируются с помощью био-математических моделей. Этот метод заключается в установлении частоты (когда поливать?) и времени орошения (сколько поливать?) в соответствии с однородными секторами почвы и энергией роста фруктового сада или виноградника. Для программирования орошения необходимо оценить как фактическое испарение, так и количество воды, которое почва может хранить в корневой зоне.
Программирование орошения — это процедура, которая позволяет установить время орошения и точное количество воды, которое будет применяться в каждый фенологический период. Однако, этот метод требует локальной калибровки некоторых параметров, включенных в математическую модель, таких как коэффициент культуры, критерий орошения и компоненты энергетического баланса (рисунок 1). В развитых странах это связано с использованием компьютерных систем и сетей автоматических метеорологических станций, которые позволяют осуществлять программирование орошения в режиме реального времени. Таким образом, в ряде стран мира существует сильная тенденция использовать автоматические метеорологические станции для программирования орошения и тем самым оптимизировать использование воды при выращивании плодовых деревьев, винограда, овощей и других сельскохозяйственных культур.
Во всем мире эта технология, которая берет начало в 80-х годах, оказала существенное влияние на экономику аграрного сектора, это значительно повысило эффективность использования воды и способствовало повышению качества и эффективности сельскохозяйственного экспорта.
Рисунок 1. Схема принятия решений для программирования орошения

Измерение климата является основополагающим для оценки потребления воды или фактической эвапотранспирации (ETreal) культуры. Эта входная переменная в модели программирования орошения определяется количественно с использованием эталонной эвапотранспирации (ET₀), которая корректируется с помощью коэффициента культуры (Kc) (уравнение 1). Эвапотранспирация (ET) культуры — это вода, которая необходима для оптимального роста. ЕТ представляет собой сумму воды, необходимой для покрытия транспирации растениями из их зеленых частей (особенно из листьев) и эвапорации, которая происходит с поверхности почвы. Эвапотранспирация выражается в мм высоты эвапотранспирации воды в каждый день (мм/день) или каждый месяц (мм/месяц) и является количеством, которое будет варьироваться в зависимости от климата и культуры.
ETreal = ET₀*Kc (1)
где:
ETreal = фактическая эвапотранспирация культуры (мм/день); ET₀ = эталонная эвапотранспирация (мм/день); Кс = коэффициент культуры.
Количество воды, которое испаряют растения, намного больше, чем то, которое они сохраняют (используемое для роста и фотосинтеза). Таким образом, транспирацию можно рассматривать как потребление воды в растении. Количество воды, участвующей в обоих процессах, транспирации и эвапорации, обычно рассматривается вместе, поскольку его очень сложно рассчитать отдельно. В практике орошения изучение эвапотранспирации служит для определения потребностей в орошении сельскохозяйственных культур, для программирования орошения для достижения оптимальной эффективности, проектирования оросительных систем, измерения резервуаров, оценки затрат энергии и рабочей силы и т. д.
a) Эталонная эвапотранспирация (ET₀)
Cоответствует количеству воды, испаряющейся с единицы площади и в единицу времени от травяного покрова (люцерна или овсяница) от 8 до 15 см, который полностью покрывает почву и обладает отличным агрономическим управлением (хорошие условия влажности почвы, состояние здоровья и питания). Другими словами, культура находится в оптимальных условиях роста, а ET₀ будет зависеть только от преобладающих атмосферных условий (рис. 3).
Большинство моделей эвапотранспирации, используемых в сельском хозяйстве, были разработаны в стандартных условиях.
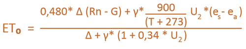
В этой связи FAO рекомендует использовать модель Пенмана-Монтейта в качестве основы для определения потребностей сельскохозяйственных культур в воде, заменив методологию, предложенную Дорембосом и Пруиттом в 1976 году. Ниже приведено уравнение Пенмана-Монтейта, рекомендованное FAO для определения ежедневной эталонной эвапотранспирации (уравнение 2):

где:
ET₀ = эталонная эвапотранспирация (мм/день)
Rn = чистое излучение (Мдж/кв.метр в день)
G = почвенная теплота (Мдж/кв.метр в день)
Т = температура воздуха на высоте 2м (°C)
Δ = уклон кривой давления насыщенного пара (кПа/°С)
U2 = скорость ветра (м/с)
es = давление насыщенного пара (кПа)
ea = текущее давление пара (кПа)
γ = психрометрическая постоянная (кПа/°С)
Использование автоматических метеорологических станций (EMA) позволяет осуществлять подробную и непрерывную запись климатической информации через определенные промежутки времени, 24 часа в сутки, 365 дней в году. Необходимую информация собирается с помощью компьютерной программы, которая обычно включается в станции, что позволяет вычислять ET₀ с помощью физических формул, как правило, Пенмана-Монтейта.

б) Коэффициент культуры
Для расчета фактической эвапотранспирации культуры (Etreal), эталонная эвапотранспирация должна быть скорректирована с помощью коэффициента культуры (Kc), который был рассчитан для каждого вида и стадии развития. ETreal будет высоким, когда культура находится в условиях хорошего водоснабжения и в почве с влагоемкостью, близкой к ее полевой влагоемкости.
Чтобы рассчитать потребности растений в воде, помимо знания физических характеристик почвы и климатических условий района, важно знать характеристики культуры. Учитывать влияние культуры и ее фенологической фазы развития важно, поскольку потребности в воде будут зависеть от типа растения и его состояния развития. Характеристики растений связаны с сопротивлением потоку воды на уровне корневой системы, устойчивостью к потере воды через устьица, архитектурой растений (высота, шершавость) и степенью почвенного покрова, которая варьируется на протяжении всего вегетационного сезона. Эти различные факторы включены в коэффициент культуры Kc, который характерен для каждого вида и изменяется на протяжении всего жизненного цикла. Коэффициент культуры описывает изменения количества воды, которую растения извлекают из почвы по мере их развития, от посадки до сбора урожая. В связи с этим, у однолетних культур обычно дифференцируются 4 стадии или фазы развития (рис. 4):
Рисунок 4. Динамика коэффициента культуры (Кс) во времени.

Начальная фаза: От посадки или появления всходов до 10% почвенного покрова.
Развитие: От 10% почвенного покрова и в период активного роста растений.
Средняя: Между цветением и плодоношением, в большинстве случаев соответствует максимальному покрову каждой культуры 70-80%.
Созревание: От зрелости до сбора урожая.
Как видно на рисунке 4, Kc начинается с небольших значений и увеличивается по мере того, как растение покрывает почву больше. Максимальные значения Kc достигаются при цветении, сохраняются во время средней фазы и, наконец, уменьшаются во время фазы созревания. В этом отношении лучше всего иметь значения Kc для каждой культуры, полученные локально и для разных сроков посадки, но при отсутствии этой информации могут использоваться опорные значения Kc для нескольких культур (таблица 1).
Таблица 1. Значения коэффициентов культуры (Kc) для зерновых, овощных и плодовых культур.

Для фруктовых деревьев коэффициент культуры обычно выражается для месяцев (табл. 2) и в зависимости от степени почвенного покрова, которая обозначает процент поверхности почвы, занимаемой древесной массой. В случае, если в междурядье есть какая-либо культура, Kc будет увеличиваться из-за потребления этой культуры. То же самое произойдет, если будут сорняки.
Важно отметить, что в этих таблицах приведены справочные значения Kc, которые должны быть оценены и проверены для каждой области, где они применяются, в основном потому, что они различаются в зависимости от местности выращивания культуры.
Таблица 2. Значения коэффициента культуры (Кс) для фруктовых (для Чили).

Выводы
Правильное программирование орошения позволяет ответить на четыре фундаментальных вопроса: что поливать, как поливать, когда поливать и сколько поливать. Этот метод становится все более актуальным в производственных затратах фермеров, которые в дополнение к поливу должны максимально использовать свои водные и энергетические ресурсы, учитывая влияние на окружающую среду. Таким образом, программирование орошения на основе климатических параметров является жизнеспособной альтернативой, которая легко может быть принята большим числом фермеров. Тем не менее, важно провести локальную проверку и калибровку моделей, чтобы только таким образом обеспечить максимальную выгоду для инвестиций и добиться успеха в желаемой производственной цели.
Национальная комиссия по ирригации, Чили (CNR)
Инга Костенко, Mivena, Украина
Анна Устименко, Клуб Sirius Agro Plant










